12-Amethyst
May 21, 2023
Solved
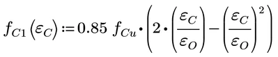
Stress-Strain plot using mathcad prime
- May 21, 2023
- 1 reply
- 3429 views
Can anyone help me with a simple programing to help me plot my stress-strain plot. I am really bad at programming, and I hope you could give me some pointers. Already tried watching tutorials and I still do not know how to proceed, Thank you in advance.



