So q is not a 1x2 matrix of vectors as in your example but rather a 2 x 1 matrix (or at the end an n x 1 matrix.
Adding units fortunately doesn't do any harm as Prime in this case seems to apply the correct unit even if we just add a dimensionless zero:

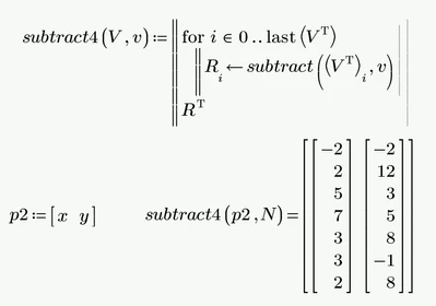
I further assume that, while q is a nested n x 1 vector holding column vectors the N always is just a simple column vector. That means that none of the involved matrices will ever consist of more than 1 column. Is this correct?
Additionally I assume that you wan the result being of the same structure as Q (nested vector of vectors), right?
It's always best to be clear about what the task is and what you want the result to be, so there's no room for misunderstandings.
If my assumptions are correct, the following could be a sensible solution to your problem:

I also added shorter variants which seem to fit just your special situation

Prime 11 sheet attached