Skip to main content
1-Visitor
February 26, 2019
Solved

sum elements of a vector using if statement

  • February 26, 2019
  • 2 replies
  • 3956 views

Hello,

 

I have the vector from the attached file with the input data.

I need to do both the sum and the total number of all positive elements from N22 (only positive). How can i do this?

 

Thank you,

Otilia

 

Best answer by LucMeekes

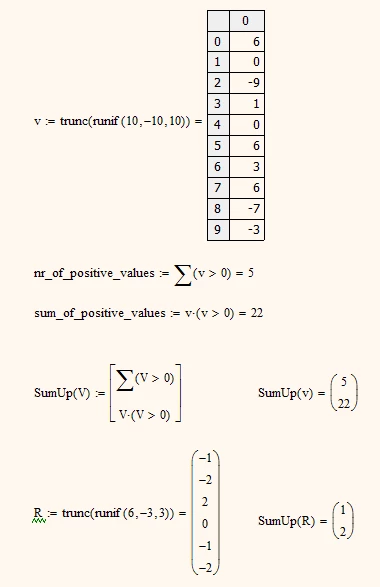
For example like this:

LM_20190226_SumUp.png

2 replies

LucMeekes23-Emerald IVAnswer
23-Emerald IV
February 26, 2019

For example like this:

LM_20190226_SumUp.png

Otilia1-VisitorAuthor
1-Visitor
February 26, 2019

Thank you very much LucMeekes. It works.

 

Otilia

25-Diamond I
February 26, 2019

For whatever it may be worth here is a slightly shorter approach

B.PNG

Otilia1-VisitorAuthor
1-Visitor
February 27, 2019

Hello,

 

I managed to get the results I wanted for a larger matrix (see attached) with the help from both of you and it is greatly appreciated.

 

What i still don't understand is the functions you used for sum and count. For count you used the 'vector sum' function, for sum it's some sort of product. No wonder with the vector sum i couldn't get anywhere when i started this exercise. Why?

 

Thank you,

Otilia

 

 

23-Emerald IV
February 27, 2019
The result of (V>0) is a vector with the same size as V, where all elements are either 0 or 1. That is: 1 when the corresponding element in V is larger than 0, and 0 when it isn't.
The vector sum of (V>0) is the sum of all 1's, that's the count of all your positive elements in vector V.
If you multiply two vectors, like V*(V>0), the result is the total sum of all multiplications of all corresponding elements. So all positive elements of V get multiplied by 1, the other elements get multiplied by 0. The total sum of all those products is then the sum of all positive elements in V.

Success!
Luc