Solved
Sum of reciprocals ?
- October 2, 2022
- 2 replies
- 1288 views
Hi, Everyone.
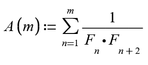
From the following:

How to find the sum of riciprocal, the above ?
Thanks in advance for your time and help.
Best Regards.
Loi.











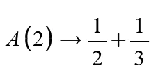
The sum seems to be 1.
Enter your E-mail address. We'll send you an e-mail with instructions to reset your password.