Skip to main content
1-Visitor
October 21, 2020
Question

Sum of square

  • October 21, 2020
  • 2 replies
  • 4094 views

hello,

 

I'm curious if we able to do sum of square in mathcad? I'm thinking to the the sum of square on math cad for the filtered temperature and unfiltered temperature. Scenario 4 & 5. 

 

if it is impossible to do it on mathcad, would you please recommend me the way to download the data to excel?

 

Thank you so much

2 replies

23-Emerald IV
October 21, 2020

Certainly Mathcad can do the sum of squares.

Make sure your data is in a vector like:

LucMeekes_0-1603272026193.png

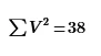
Now you can easily calculate the sum of the square values:

LucMeekes_1-1603272055998.png

For an arbitrary length vector you write is as follows:

LucMeekes_2-1603272088313.png

Success!
Luc

 

 

1-Visitor
October 21, 2020

Hello,

 

Thank you so much for the information. i believed it is SSE of Tsf and Tf. Do you know any function to extract the data to excel?

 

Thank you so much

25-Diamond I
October 21, 2020

Looking for something like this?

Werner_E_0-1603276056435.png

 

1-Visitor
October 21, 2020

Hello,

 

I will just have to do it seperaly then ratio of SSE of Tsf/ SSE Tf.

 

i will try it now. Thank you so much