Summation - Mathcad Prime 9
Good afternoon,
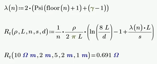
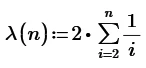
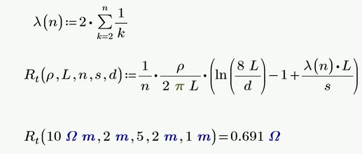
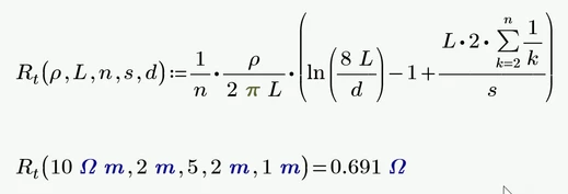
I'm sure someone on here can assist, we are fairly new to using Mathcad and we are struggling to get the lambda formula in the below snip into a Mathcad sheet, it throws up a number of errors and we aren't sure what numbers we should be adding where. If anyone can assist, we would be very grateful.
Cheers
Simon



