Solved
Summation of the table values
- November 19, 2022
- 1 reply
- 2047 views
Hello!
How can I sum all the values given in a table by using the Summation operator? Each row is n=1, n=2 and so on.
Please, take a look at the attached file.
Its not clear to me what you are looking for or what result you expect
Is it something like this:

or do you expect a vector of values as result?

You should also know that the first index of a vector is by default 0, not 1. This behaviour can be changed by setting ORIGIN to a value other than zero.
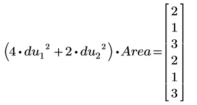
What you calculated simply was

Note that du.1*du.1 is a scalar vector product!
Enter your E-mail address. We'll send you an e-mail with instructions to reset your password.