Sym and Num Abs and Norm - what is it?

Mathcad 15


Mathcad 15

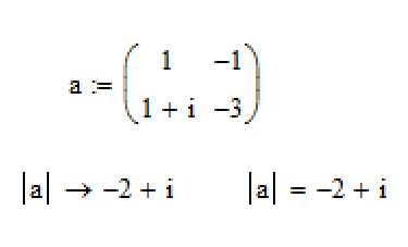
There's a known bug in pre 4.0 versions of Prime with regards to the determinant of matrix, especially if it has complex valued elements.
It was fixed just before the release of Prime 4, one of the reasons that release took so long, and just a couple of more days in the end.
There still is a bug in Prime (4.0) regarding norm of a matrix.
Luc
Enter your E-mail address. We'll send you an e-mail with instructions to reset your password.