Skip to main content
1-Visitor
September 18, 2020
Solved

Symbol evaluation (move to Electrical Engineering)

  • September 18, 2020
  • 2 replies
  • 3377 views

Hi

 

I post this question before but I think I did not label Electrical Engineering but Knowledge base instead. I moving this question to Electrical Engineering

 

Question: Is there a way to substitute a symbol into a symbolic question to simplify the symbolic equation further?

 

symbolic_subs.PNG

 

Thanks a lot for all the helps

rdliquid

Best answer by rdliquid

Thanks to Werner_E and Mfra for the helps. I get it now.

 

Rqliquid

 
 

2 replies

21-Topaz II
September 19, 2020

Hi,

answer to rdliquid.jpg

25-Diamond I
September 19, 2020

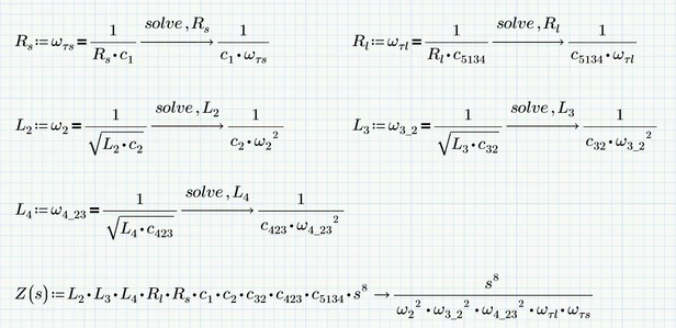
One way to do it is to provide the equations not using the assignment operator (:=) but rather with the fat boolean equal sign and let Prime solve each equation for the variable you would like to be substituted. Of course the results would have to be assigned the appropriate variables.

Werner_E_0-1600506650510.png

 

As the equations are so simple it probably would be less effort to manually solve the equations in your head and simply provide the results as MFra also had done:

Werner_E_1-1600506685336.png

 

Prime 6 worksheet attached

 

BTW, the labels you apply to your posts don't really matter. I think these labels are hardly noticed by anyone.

rdliquid1-VisitorAuthorAnswer
1-Visitor
September 20, 2020

Thanks to Werner_E and Mfra for the helps. I get it now.

 

Rqliquid

 
 
rdliquid1-VisitorAuthor
1-Visitor
September 20, 2020

Sorry I have a little of  problem when I did it the way Werner_E recommended. Technical it is correct but can be reduce further. Please see below:

I do not know the difference between the two and yet it gives 2 different results:

symbolic_substitution.PNG