24-Ruby IV
February 10, 2022
Question
Symbol math Prime and Mathcad 15
- February 10, 2022
- 3 replies
- 4529 views
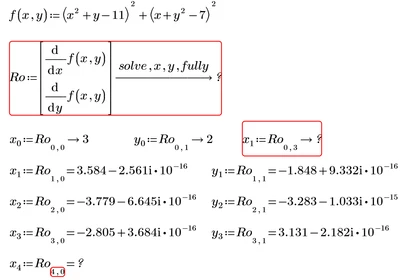
I'm trying to parse a test function https://en.wikipedia.org/wiki/Himmelblau%27s_function using symbolic math. It has one local maximum, four global minimums and four saddle points.
Why does Prime's symbolic math only output the minimums? Mattcad 15 symbolic engine produces the traditional answer - absolutely accurate and absolutely indigestible.
Thanks for any response and comments. Attached files.




