Solved
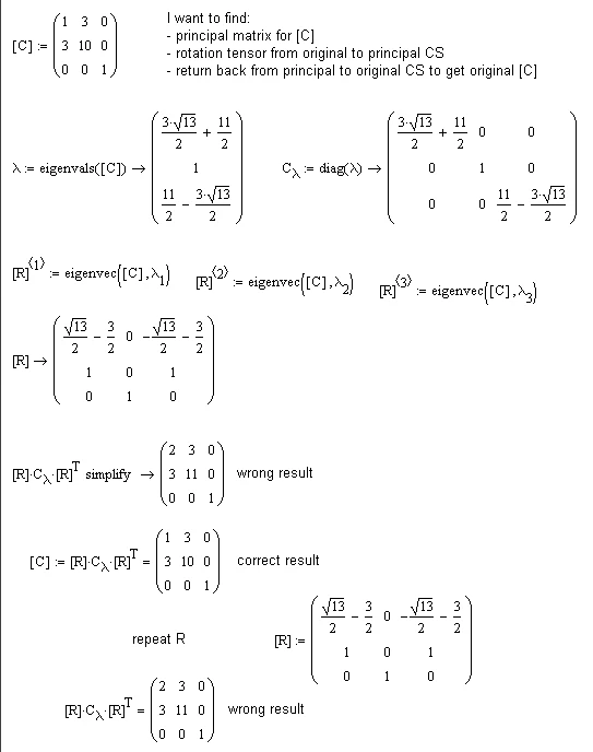
Just a suggestion to avoid the confusion - overlay the function "eigenvec" by a userdefined function:

Enter your E-mail address. We'll send you an e-mail with instructions to reset your password.
Just a suggestion to avoid the confusion - overlay the function "eigenvec" by a userdefined function:

Enter your E-mail address. We'll send you an e-mail with instructions to reset your password.