Skip to main content
1-Visitor
September 26, 2017
Question

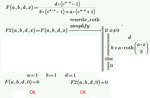
Symbolic command 'rewrite' changes the domain of a function?

  • September 26, 2017
  • 1 reply
  • 1684 views

I want to replace function (F) with a more compact expression (F2). However, an error occurs.

 

Function with coth.png

1 reply

24-Ruby IV
September 26, 2017

And what we have in Maple or Mathcad 11?

23-Emerald IV
September 26, 2017

The same as what every mathematical application should do when asked to evaluate the coth of 0: throw a devide by zero error.

 

Success!
Luc

1-Visitor
September 26, 2017

Thank you, Luke. I know it. I want this to know Mathcad Prime (see picture). Maybe it works in Valery's Mathcad Prime Minister?Smiley Happy

Function with coth1.png