Solved
symbolic derivation inconsistency
- May 22, 2017
- 1 reply
- 2155 views
I am trying to write a sheet for grad, div, and curl.
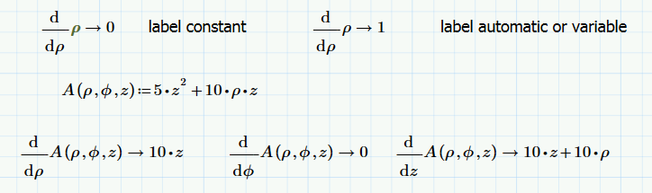
I am finding that one symbol (rho) is considered as a constant instead of a variable.
what should I do to rectify this?

Prime has an annoying habit of labeling your variables and constants. You (apparently) have rho as a constant:

Enter your E-mail address. We'll send you an e-mail with instructions to reset your password.