Question
Symbolic Derivative
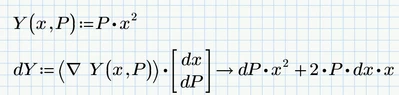
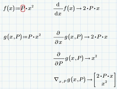
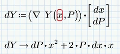
If I have a more complicated equation and want to find its derivative using a symbolic tool, how can I do that? For example, with a simple function like F = k*x, the derivative is easy, but for more complex functions, it can be very time-consuming.


