Solved
Just solve for x and y with Mathcad Val:

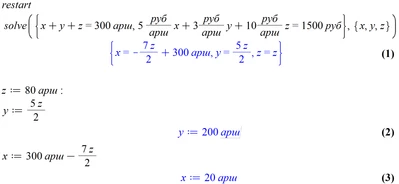
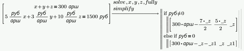
I'm not sure that Maple's z = z is a very useful solution!
Alan
Enter your E-mail address. We'll send you an e-mail with instructions to reset your password.
Just solve for x and y with Mathcad Val:

I'm not sure that Maple's z = z is a very useful solution!
Alan
Enter your E-mail address. We'll send you an e-mail with instructions to reset your password.