Skip to main content
1-Visitor
February 1, 2019
Question

Symbolic Fourier Transform issues

  • February 1, 2019
  • 1 reply
  • 1085 views

Hi!

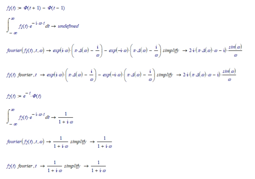
I get unexpected results when using the Fourier Transform on some common engineering functions:Fouriererror.JPG

Am I not using the fourier operator correctly? 

Please help 🙂

1 reply

23-Emerald IV
February 1, 2019

This may be a well known bug, due to Mupad (the symbolic processor).

This is what Mathcad 11 (Maple) gives:

LM_20190201_Fourier.png

Success!
Luc