Skip to main content
1-Visitor
November 2, 2015
Question

Symbolic Matrix Solution

  • November 2, 2015
  • 2 replies
  • 4285 views

Can someone guide me as to why I cannot solve a matrix symbolically?

I have attached a file, that needs to be solved in terms of q1, q2, and q3.

Thanks

2 replies

25-Diamond I
November 2, 2015

Ramani Ayakannu wrote:

Can someone guide me as to why I cannot solve a matrix symbolically?

What do you mean by "solve a matrix"? You can't solve a matrix, you rather can solve an equation for a given variable.

Its unclear to me upon looking at your sheet what you are trying to do and which equation you would like to solve for which variables.

I have attached a file, that needs to be solved in terms of q1, q2, and q3.

Which equation(s) do you want to be solved and which variables should be expressed in terms of q1,2,c? (I don't see any c.3 in your sheet)

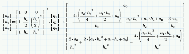
If you are after something like the following, simply leave q1,2,c undefined:

You could also use the symbolic "solve" to do the job:

WE

rayakannu1-VisitorAuthor
1-Visitor
November 2, 2015

Werner, thanks for responding. but, I am getting the same answer as you.
Capture.PNG

This is what I am getting

rayakannu1-VisitorAuthor
1-Visitor
November 2, 2015

sorry, not getting the same answer as you

21-Topaz II
November 3, 2015

I'd prefer to proceed as follows:

for rayakannu.jpg