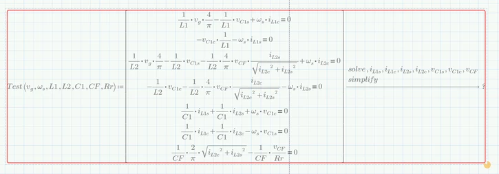
The seven variables you are solving for should not be arguments of the function and you should not use any row or column selectors.
It should look that way

and while you still would get the message that the results can't be displayed, you should be able to use the function numerically like
![]()
Unfortunately for reasons unknown to me the calculations seems to run endless and so this seems not to work.
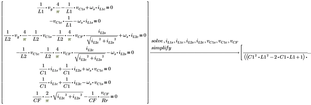
But there are good news. While the full 1x7 result row vector is (in the opinion of Prime) to large to be displayed, the results can displayed one by one:

EDIT: Actually I have no idea what the problem with evaluation Test(1,2,3,4,5,6,7) would be.
After all, Prime can quickly and easily find a solution that way:

Enter your E-mail address. We'll send you an e-mail with instructions to reset your password.


