Solved
System of ordinary differential equation solver
Hi,
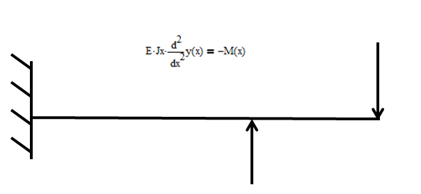
how can I solve a system of ordinary differential equation (with relative boundary condition) in mathcad 15?
I must determined an elastic linear equation for a beam fixed to an extremity and with to transverse force applied in different point.
Best regards


