Solved
Taylor series with several independant variables
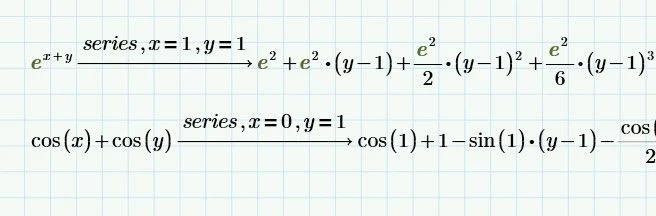
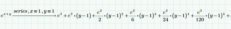
I try to convert mathcad 15 Taylor serie to PTC mathcad 9.0.
It seems that mathcad 15 could treat Taylor series with several variables but not PTC mathcad 9.0.
After PTC conversions, PTCmathacd 9.0 give the following error : more than one independant variable
Could you help me to solve this problem ?
Thanks

