Question
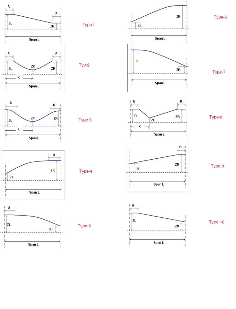
Tendon Profile Parabolic and CircularProfile
Dear all
can you help me to construct the tendon profile (Parabolic and Circle)?
Thank in advance



Dear all
can you help me to construct the tendon profile (Parabolic and Circle)?
Thank in advance



Enter your E-mail address. We'll send you an e-mail with instructions to reset your password.