Question
The root function of Mathcad - function and equation
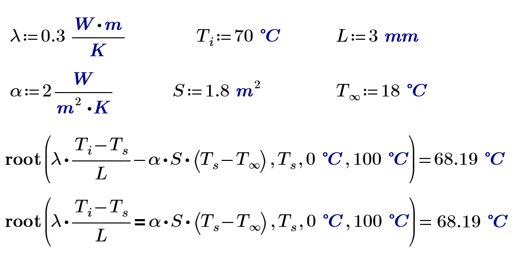
What can you say about this!
The root function of Mathcad must work not only with a function but with an equation too! As the solve operator!

What can you say about this!
The root function of Mathcad must work not only with a function but with an equation too! As the solve operator!

Enter your E-mail address. We'll send you an e-mail with instructions to reset your password.