10-Marble
November 15, 2025
Solved
These units are not compatible
- November 15, 2025
- 1 reply
- 261 views
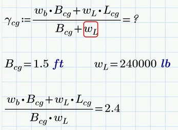
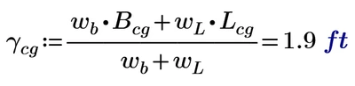
I'm using MathCAD 9.0.0.0. For whatever reason, MathCAD is having a problem with variable units of my final equation in my attached file.

When Prime moans about incompatible units its usually correct. Unit checking is one of the strengths of the program.
In your case "Bcg" is a length/distance, but "wL" is a weight. You sure can't add quantities of different dimensions.
Maybe you meant a product instead of the sum?

Or more likely you wanted to use "wb" instead of "Bcg" !?

Enter your E-mail address. We'll send you an e-mail with instructions to reset your password.