Skip to main content
8-Gravel
May 26, 2022
Question

This expression could not be interpreted

  • May 26, 2022
  • 3 replies
  • 1452 views

I converted a part of file from my Mathcad 15 worksheet and getting the error due to this i am unable to proceed with calculations Can it be converted somehow?

3 replies

23-Emerald IV
May 26, 2022

It seems it can't be converted, Prime does not understand the syntax.

You'll have to retype the expression in Prime. I'd suggest you use the middle one:

LucMeekes_0-1653596784693.png

Then when you try to assign the symbolic result to the iac function, you'll get another error in Prime:

LucMeekes_2-1653597006025.png

It appears that Mathcad 15 would (implicitly) solve the middle part for iac, you have to tell Prime what to do:

LucMeekes_3-1653597234421.png

Success!
Luc

 

P.S. Note that Iac is NOT a function of Cdc (or is there an error in the expression...?).

 

ttokoro
21-Topaz I
21-Topaz I
May 26, 2022

image.png

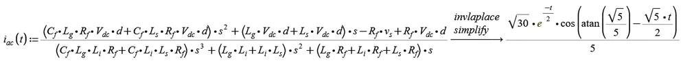
Assume all=1,

image.pngimage.png

t.t.
5-Regular Member
June 7, 2022

We also got this question / defect report through tech. support. The customer case is logged and we will look into it.

The workaround is to split the original expression in Mathcad 15 into several expressions. 

The original expression in Mathcad 15 is as follows when you uncheck "hide keywords":

MSheykman_0-1654591200363.png

I think that it is a good idea to split it anyway. Otherwise it is very hard to read and understand what it does.