"This value must be a scalar or a vector"
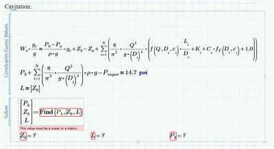
After fixing an issue with an earlier solve block I am now finding this,

Please advise and thank you!
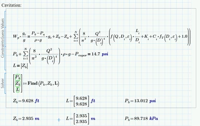
After fixing an issue with an earlier solve block I am now finding this,

Please advise and thank you!
Main problem is that variable Ws is not defined - not as a variable or vector (its defined as a function!).
But what do you mean by L = |Zb| ?
Actually a vector L can't equal the scalar |Zb| but Prime would interpret this constraint that each element in vector L should equal the scalar on the right hand side.
Did you possibly mean |L|=|Zb| ?

Was Ws meant to be uses as the function (of Q) you defined on top of the sheet?

Enter your E-mail address. We'll send you an e-mail with instructions to reset your password.