15-Moonstone
March 16, 2023
Solved
Too many initial conditions
- March 16, 2023
- 1 reply
- 1326 views
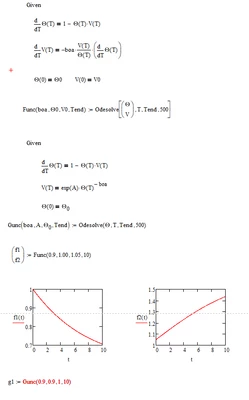
I have 2 ode's that I solve using odesolve. However, I can integrate one of them analytically. When I do this, I get the error message "Too many initial conditions" even though I only have one for the remaining ode. Or can I

not include the integrated function in the solve block?


