Skip to main content
1-Visitor
March 14, 2021
Question

Tools in PTC Prim used in specific images

  • March 14, 2021
  • 1 reply
  • 1071 views

Hello everyone,
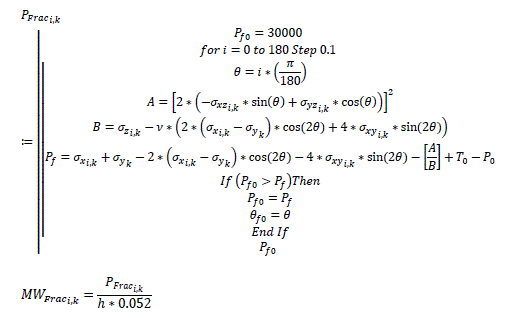
I want to write equations using the codes in the inserted images. Please which tools in PTC Prime used for writing in these images? How to write this code?
Collapsepressurealgorithm.GIFFracturepressurealgorithm.GIF

Regards

1 reply

23-Emerald IV
March 14, 2021

Use programming. Look up info and examples in the Help info and then start to implement your two programs. You should be able to program them almost as shown in your pictures.

In case of problems, come back here, attach your Prime worksheet with a clear indication of the problem you are facing, for help.

 

Success!

Luc