OK, this was a tricky one which took some time until I realized whats the cause for the difference.
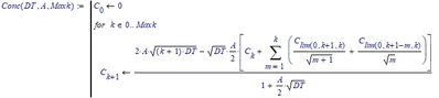
The error occurs because Luc's attempt does not prevent the summation from 1 to 0 from being executed. It only sets the nominators of the summands used in the process to C0. The approach therefore only works because C0 is fortunately set to zero and therefore these sums, which should actually be avoided, only add zeros. That is also why I do not particularly like this approach - it would not work if C has to be initialized with a value different from zero.
So when m runs through the values 1 and 0, the last summand gives us the expression 0/0 for m=0. This is undefined, and therefore it is perfectly fine for Mathcad to issue an error message here.
In Mathcad 14/15, however, there is an option in the worksheet options to set 0/0 to be treated as 0.
"Tools" - "Worksheet Options..." then tab "Calculation"

In the sheet you posted the option 0/0 = 0 was not checked and that's the cause Mathcad treated 0/0 the correct mathematical way and threw an error 😉
ConcLM only works if this option is enabled (and if C0 is always initialized to 0). Of course it still fails for Maxk=1, which is why I included the branch before the loop in my version. This may also solve your problem in the other sheet, but I would rather prefer ConcSB over ConcLM.
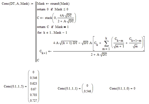
According you attempts with ConcWExx in the other sheet: If you initialize C with just one value instead of 2 (like I did using the stack function) you must assure that you create a vector, not a scalar.
So I guess this is what you are trying to achieve

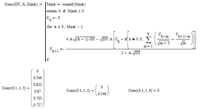
The last line would not be mandatory but I feel its good style to explicitly state a return value.

Find also similar SB and LM versions in the attached sheet. Personally I would settle for SB. SB also does not avoid the unwanted summations to be done, but it explicitly adds plain zeros (not only setting the nominators to zero). So this version (like the WE) also works if the option 0/0=0 is not set.
I was also curious concerning efficiency wrt calc time.

WE and SB can be considered to be equivalent. The effect with LM can probably be explained by the many calls to the external function “lim”