Solved
Two equation but one variable to solve
- September 25, 2015
- 2 replies
- 4772 views
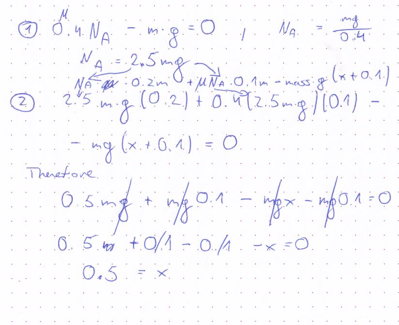
Hi Guys, previously you help me so I have hope that you will explain me where is problem here:

First of all I trying to find x value is in Meters. Of course i don't care about the value of mass and Na because it will reduce during the solving.
I don't know why I have x.distance as undefined? And why can't get the result that should be : 0.5 m


