1-Visitor
October 19, 2021
Question
Unit issues
- October 19, 2021
- 3 replies
- 1796 views
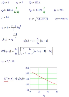
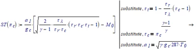
My goal is to produce a graph of ST vs pi(c) which is a variable from 5-60 with increments of 2 (dimensionless value). I have no idea why the value of tau(c) on the graph has an error and it said that this value must be a scalar. the value tau(c) should be dimensionless as well. Any help would be greatly appreciated.

