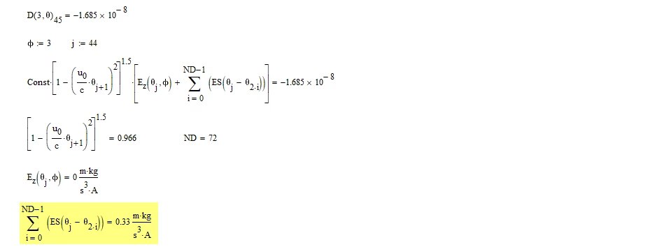
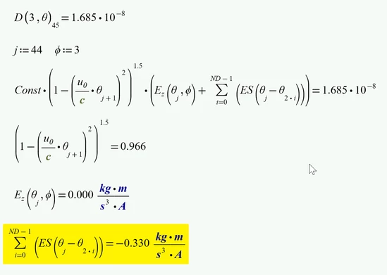
Hmm, I looked at the index 45 and calculated it outside the function in MC15 and Prime.
The main difference occurred in the sum calculation


So I looked at the individual summands but could not spot a significant difference with the naked eye. Therefore I exported the MC15 result and imported them in Prime.


As you can see, the two vectors actually sum up to about the same value bt with different sign. But largest difference of the two vectors is just +/- 1.9 at values in the range of 10^4. Thats not much of a difference, but on the other hand the sum of the vector also is just +/- 0.3. This means that the large positive and the large negative values in this vector cancel and small differences may push the result on the positive or negative side.
I would also guess that these differences are not the cause for AdamsBDF failing (but then - who knows?).
I have to leave it up to you to further investigate in the (only small) differences in the two vectors, find out where they may stem from and if they could be responsible for the ODE-solvers failing ...