6-Contributor
March 6, 2023
Solved
Units Question
- March 6, 2023
- 3 replies
- 1764 views
Hello everyone:
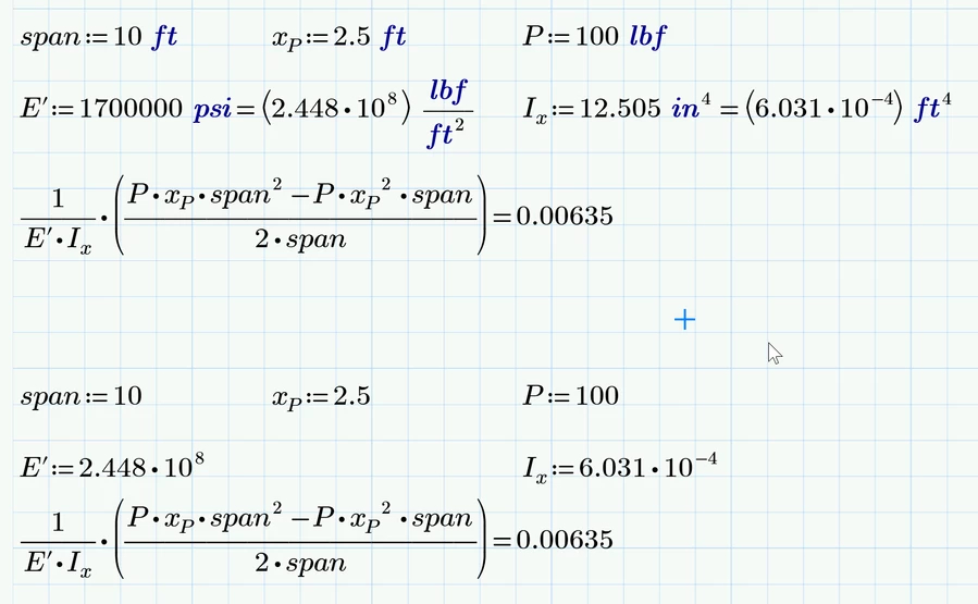
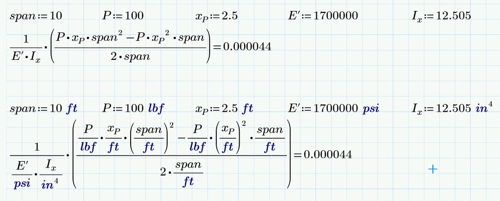
I have a question about how mathcad prime handles the units in the background. See attached Mathcad Prime 3 spreadsheet for reference. Why does the top formula (i.e., the one where the variables have units) get a different answer than the bottom formula (i.e., the one where the variables don't have units)? Shouldn't it be the same since, in this particular formula, all of the units cancel out? And how is this program handling the units in the background? Does it use default units under the hood and then convert from those default units to whatever units you type in?
Thanks in advance for your replies.

