Solved
Units with exponents.
- December 31, 2020
- 3 replies
- 2717 views
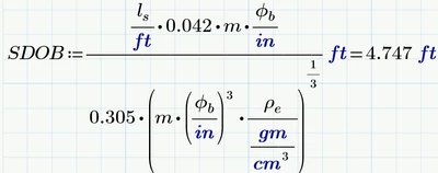
I am trying to solve an equation that has variables raised to a power (x^3) and also has roots (x^0.333). I have tried to move the dimension under the radicand, but the results still don't work.
Please see the attached worksheet and comment on what can be done for a proper solution. The answer found in Excel without any units is 4.76 feet.
Thank you for your assistance.




