1-Visitor
September 1, 2025
Solved
Unknow variable in matrix mathcad prime
- September 1, 2025
- 1 reply
- 593 views
Hello
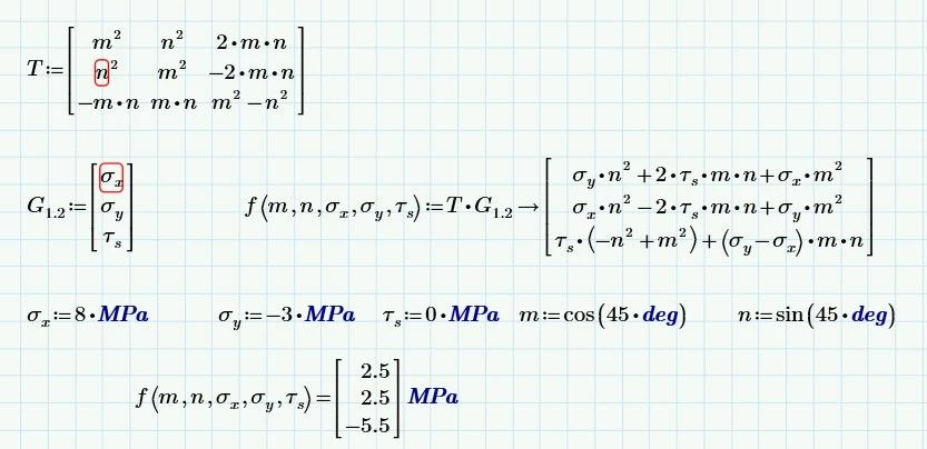
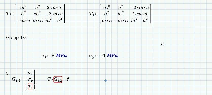
I have issues with matrix calcualtions. I am calculating the stifness matrix of something but I want to multipy a matrix by a vector. But I want to put unknown variable in the vector so the resulting vector is a function of the variable. I am ataching pictures to illustrate what I mean.
Thanks for any help.

