Solved
Unmatch results of “if” function
Dear all,
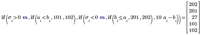
I'm encountering an issue with my sheets. The expression in the red box is producing incorrect results based on the Δna criteria.

Could anyone help with this?
Thanks!
Dear all,
I'm encountering an issue with my sheets. The expression in the red box is producing incorrect results based on the Δna criteria.

Could anyone help with this?
Thanks!
Thanks for the solution, i try to delete the "for" and use the "else if" and got the correct answer

Enter your E-mail address. We'll send you an e-mail with instructions to reset your password.