user defined units
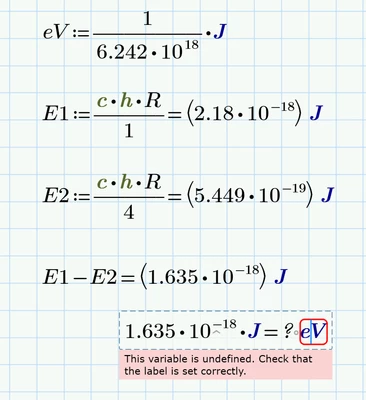
Hello, I defined an electron volt in terms of Joules, and tried to convert Joules to electron volts in prime 11, and got an error saying electron volt was undefined. What am I doing wrong?

I get the same error when I replace the J with the eV in the 2nd to last expression. This worked in MathCAD 15.

Thanks for the help, Paul


