Solved
Using a solve block with a vector equation
- April 2, 2019
- 3 replies
- 2949 views
Hi,
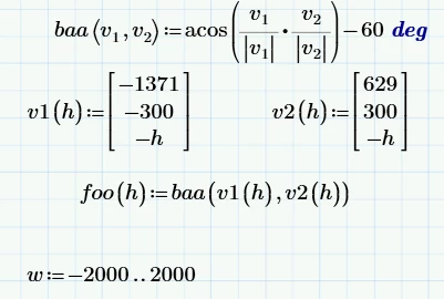
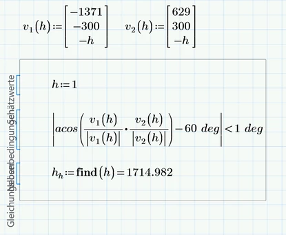
I get a "No Solution is found" from the find() in this solve block in Mathcad prime. Can someone please tell me where I'm going wrong? (code attached)
I have noticed that if i put the initial guess in for 'h' as the answer then the solve works but this defeats the object somewhat.
Thanks in advance!

