Question
Using a user-defined variable in a program block in MathCad Prime 11
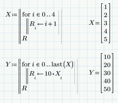
I define a vector variable X (using a program block) in one part of the MathCad document.
The variable is computed correctly and I can access any element Xi later on by the expression Xi :=
However when I try to call Xi inside another program block further down, I get "This variable is undefined" error.
Would appreciate any suggestions.

