Skip to main content
1-Visitor
April 5, 2022
Question

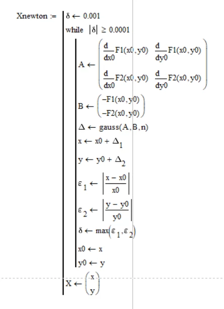
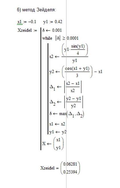
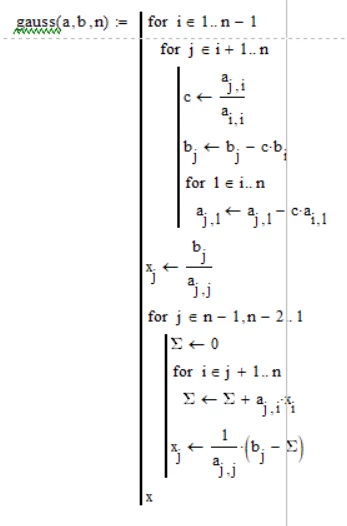
using mathcad to solve system of nonlinear equation by Newton and seidel methods

  • April 5, 2022
  • 1 reply
  • 2161 views

Hello there,
This program I rewrite it by changing my own numbers only. Sadly I don't understand how this program works. Do you mind how to explain how this program works?  Appreciate for the help.

Regards,
Adlil

1 reply

24-Ruby III
April 5, 2022

Please upload your Mathcad worksheet.

Adlil1-VisitorAuthor
1-Visitor
April 5, 2022

Thanks for the reply. The  exercise is name under Zadanie 12 (задание 12)