Question
Variable is undefined & Symbolic result returned is too large to display
- February 24, 2020
- 4 replies
- 2028 views
Hi
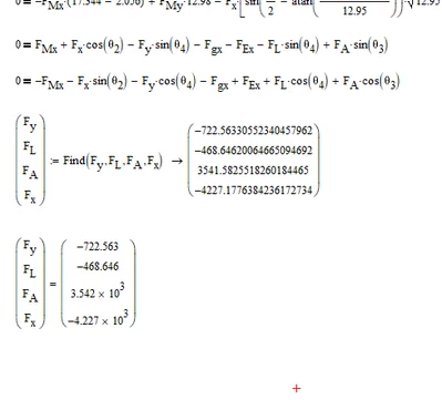
I'm having some problems in Mathcad 15 using Given/Find to solve 4 equations with 4 variables, but I can't get the results. It says:
This variable is undefined.
The symbolic result returned is too large to display, but it can be used in subsequent calculations if assigned to a function or variable.
It's about quater way down the worksheet.
Please help, I's so frustrated and confused. It has never been this dead-locked before.

