Solved
Variable Setting
- May 26, 2025
- 3 replies
- 2259 views

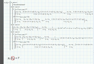
I tried to output the calculation result. The ideal result would be like: "ps = k tp + b "according to the "IF processing". The "tp" here actually relates to the time, but right now I just want the result to be like the form I mentioned above. In other word, I think and hope the "tp" is just a symbol in my ideal output result.
So I tried to set it as a "key word" or "constant" by setting the labels but found nothing helpful. Can any solution help me with this? Many thanks advanced !
Files attached.



