Skip to main content
8-Gravel
May 19, 2023
Solved

Vector requirement

  • May 19, 2023
  • 1 reply
  • 1507 views

I am trying to use simple equation but getting error Is there anything I am missing over here

Best answer by terryhendicott

Hi

Yes you can use 1 row for the table but it returns variables not vectors of one.

If the result you need is a vector with only one row do this,

Capture.JPG

1 reply

21-Topaz II
May 19, 2023

Hi,

With only one row in the input table the values are treated like single variables..

To get a vector more than one row of input is required in the table.

Capture.JPG

Use last() not lenght()

Capture2.JPG

8-Gravel
May 22, 2023

So, there is no way I can use table for 1 input row?

21-Topaz II
May 22, 2023

Hi

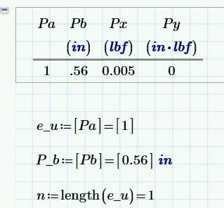
Yes you can use 1 row for the table but it returns variables not vectors of one.

If the result you need is a vector with only one row do this,

Capture.JPG