What is wrong with the script? Two identical scrips but two different outputs
Hi
I have two identical scripts with identical input data. However, the output vectors differ. What is wrong with the second one??


Thanks in advance!
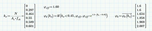
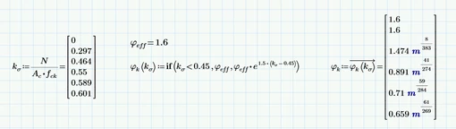
Hi
I have two identical scripts with identical input data. However, the output vectors differ. What is wrong with the second one??


Thanks in advance!
First:
You should attach the worksheet(s), instead of only pictures.
Then:
The 'scripts' are not identical, apart from the definition of phi.eff (1.6 versus 1.60):
The first one uses e, the base of the natural logarithm in the expression for phi.k.
The second one uses a variable e, the value of which probably has a unit of metres m.
Success!
Luc
Enter your E-mail address. We'll send you an e-mail with instructions to reset your password.