Solved
Did you mean to do this:

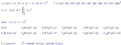
Then:

Finally:

But there are options for minerr. If you press the right-mouse button on it, you can select other minimisation strategies. The above was done using 'Linear' (The default). For non-linear: Levenberg-Marquardt you may get:

Success!
Luc
Enter your E-mail address. We'll send you an e-mail with instructions to reset your password.



