Solved
Why L1^2 is missing?
- March 28, 2023
- 2 replies
- 1823 views
Hello everyone!
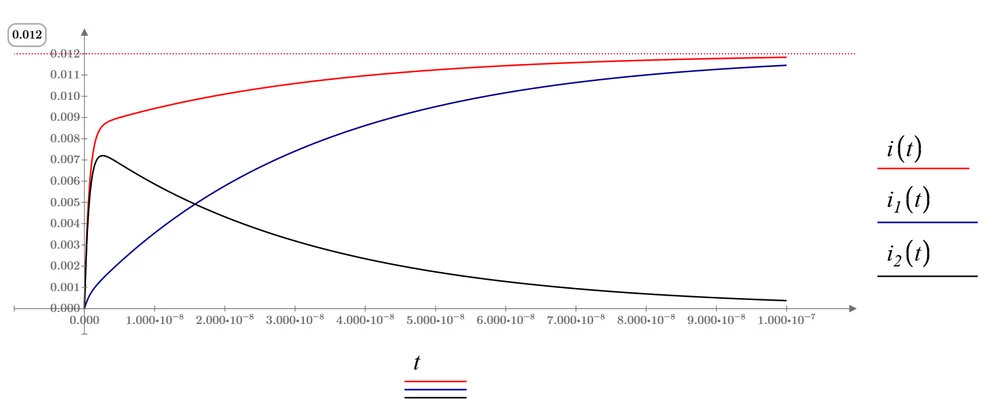
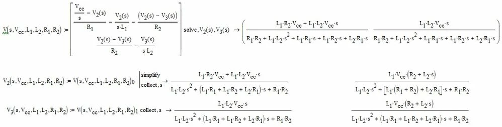
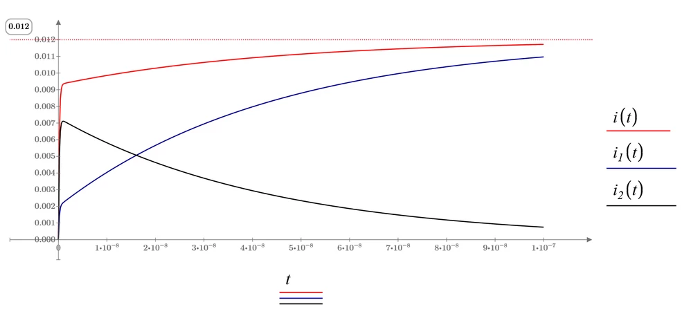
I have been looking into the transient in this passive circuit for some time. However, I see that the theoretical results do not coincide with those using the TABLEAU matrix. As you can see at the end of the worksheet, the denominators are slightly different i.e. L1^2 is missing. Why. Whoever finds the source of the problem is really good.
Thanks to anyone who can answer.
Greetings.









