Skip to main content
19-Tanzanite
April 29, 2024
Solved

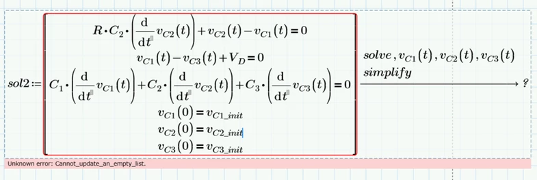
Why solve cannot solve this system of diff eq with 3 eq?

  • April 29, 2024
  • 1 reply
  • 1795 views

Hi,

I am making something wrong? Are only 3 differential equations...

Cornel_0-1714392318215.png


But using laplace command this system of differential eq can be solved:

Cornel_1-1714392350034.png

 

See MCP9 file attached.

Best answer by Werner_E

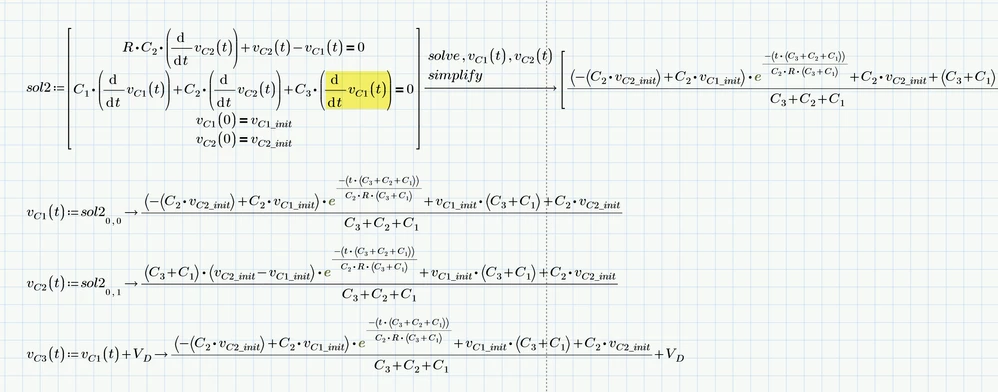
It may be because of the dependency of the three function in equation #2

 

This works (derivatives of vc1 equals derivative of vc3:

Werner_E_0-1714393522028.png

 

v.C3(0) cannot be chosen freely!

Werner_E_1-1714393620951.png

 

 

1 reply

Werner_E25-Diamond IAnswer
25-Diamond I
April 29, 2024

It may be because of the dependency of the three function in equation #2

 

This works (derivatives of vc1 equals derivative of vc3:

Werner_E_0-1714393522028.png

 

v.C3(0) cannot be chosen freely!

Werner_E_1-1714393620951.png

 

 

Cornel19-TanzaniteAuthor
19-Tanzanite
April 29, 2024

This is the circuit:
@ttokoro 

Cornel_0-1714394218397.png

 

23-Emerald IV
April 29, 2024

The situation of your circuit is impossible.

To the left of the switch, at t=-0 you have a capacitor C3 charged to 5.7 V, in parallel to the series connection of a diode, that you model with a (constant) voltage source of 0.6 V, and a capacitor C1.

This means that the voltage across C1 must be 5.7-0.6=5.1 V, not the 0 V that you set it.

 

Success!
Luc