Skip to main content
19-Tanzanite
April 3, 2024
Question

Why the laplace transform of a derivative not work when I added a constant value to it?

  • April 3, 2024
  • 2 replies
  • 1674 views

Hi,

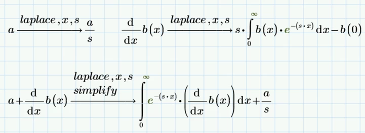
Why when I added a constant value a to a derivative I see that the laplace transform of a derivative did not work as expected? Am I doing wrong something? Or?
Prime 9 sheet attached..

Cornel_1-1712138564809.png

2 replies

Cornel19-TanzaniteAuthor
19-Tanzanite
April 3, 2024

Cornel_0-1712139156384.png

 

23-Emerald IV
April 3, 2024

It seems like the derivative of b(x) is sometimes not recognised as such.

Check the labels of your variable, especially the x'es. All your x'es should be of the same label.

 

Success!
Luc

Cornel19-TanzaniteAuthor
19-Tanzanite
April 3, 2024

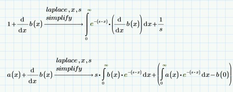
I checked x-es labels...they are the same:

Cornel_0-1712147901474.png

Cornel_1-1712147933831.png

Cornel_2-1712147952202.png

Cornel_3-1712148005686.png

 

 

23-Emerald IV
April 3, 2024

Still there is a different one. the (x) between brackets is a '(variable)', not a 'variable'.

 

If that doesn't help, file a bug report.

 

Success!
Luc