Solved
@Cornel wrote:
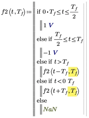
And the only solution for this is this (to define Tf above f2)?
NO!!
You simply have to use your function the way you had defined it - with two arguments!
As i already wrote, you were missing the second argument when you called your own function.

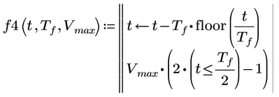
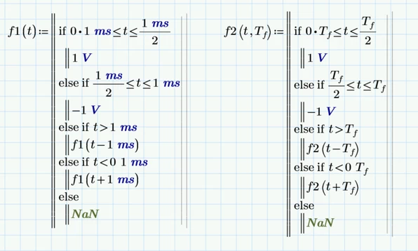
Here a an alternative function

Calling the "mod" function twice is necessary to deal correctly with negative t-values because the implemented "mod" function would return negative values for negative arguments.
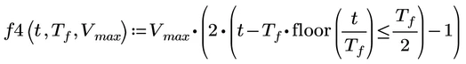
Another alternative:

could also written as

Enter your E-mail address. We'll send you an e-mail with instructions to reset your password.



