Solved
Why variable result is not updated in this scenario?
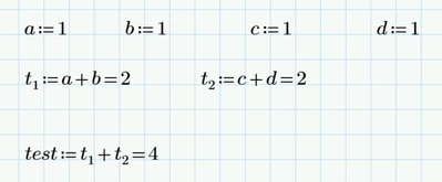
Hi,

Then I overwritten values for t1 and t2 and test variable result was updated with the new values of t1 and t2:

Then I disabled t1 and t2, but the test variable remained unchanged. Why t1 and t2 did not took value 2 and update the test variable result with 4?


