1-Visitor
January 2, 2025
Solved
Writing a FOR program to solve a rangeof numbers and it only solves one of them.
- January 2, 2025
- 2 replies
- 795 views
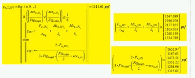
We had a formula written in Mathcad 15 that solved a range of numbers and gave a solution of the entire range (see image below). When we convert to Mathcad Prime 9.0 only the last number of the range gets solved (second image). We are looking for a maximum throughout the range so this does not help us very much. Is there a way to write the function in Mathcad Prime 9.0 to give similar results to Mathcad 15? Both files are attached.




